안녕하세요! 오늘은 ggplot 심화에 대해 알아보도록 하겠습니다.
말만 심화이고, 부차적인 기능에대해 설명하고자 합니다ㅎㅎ(좀 더 전문가스럽게 쓰는 방법이랄까요)
기본적인 문법은 아래를 참고해주세요!
https://datapedia.tistory.com/2
[R] ggplot2에 대해 파헤쳐 보자!!(feat.기초편)
많은 사람들이 R에서 시각화 패키지로 'ggplot2'를 사용합니다. 그 이유는 아마 기존 R패키지와는 달리, 예쁜 그래프를 보여줘서 그런거 같습니다. ggplot을 썼구나를 알아채는 대표적인 방법은 뒤에 회색 그리드(..
datapedia.tistory.com
1. coord_flip: x축 y축 바꾸기
*flip: 뒤집다
x축과 y축을 한줄로 switch해주는 기능 입니다!
생각 나는 대로 먼저 x축과 y축을 설정해준 다음,
x축과 y축을 바꾸고 싶을때 쓰시면 됩니다.
#coord_flip: x축 y축 변환
ggplot(data = mpg, mapping = aes(x=displ, y=hwy)) +
geom_point() +
coord_flip()


2. 면분할 - facet_grid 과 facet_wrap
면을 나눠서 여러가지 그래프를 한번에 보고싶을때 사용합니다.
facet_grid 과 facet_wrap의 차이점은,
facet_wrap은 nrow 설정으로, 몇 줄 혹은 몇 열로 나타나는 것을 지정해 줄 수 있습니다.
범주형 데이터가 있을때 각각의 특징을 파악하는데 좋겠죠?!
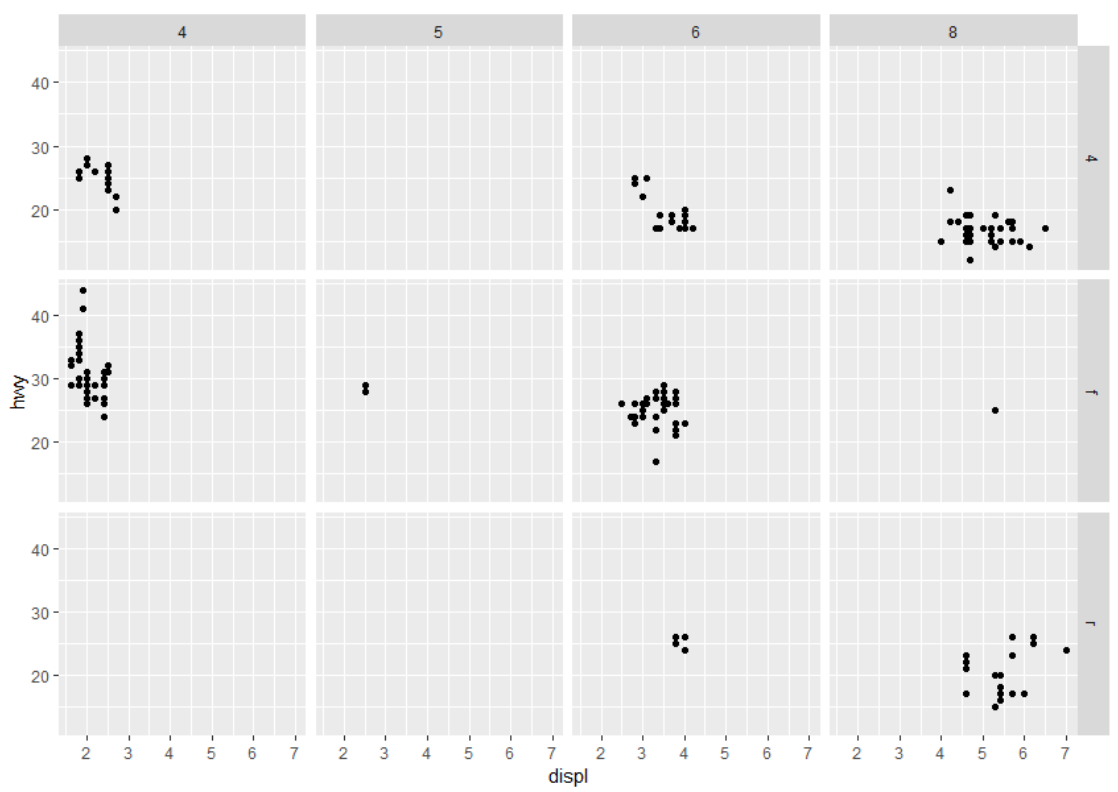
#facet_grid
ggplot(data = mpg) +
geom_point(mapping = aes(x=displ, y=hwy)) +
facet_grid(drv~cyl) #y축~x축 이2개 변수로 구분하여 플롯을 나눠그려라

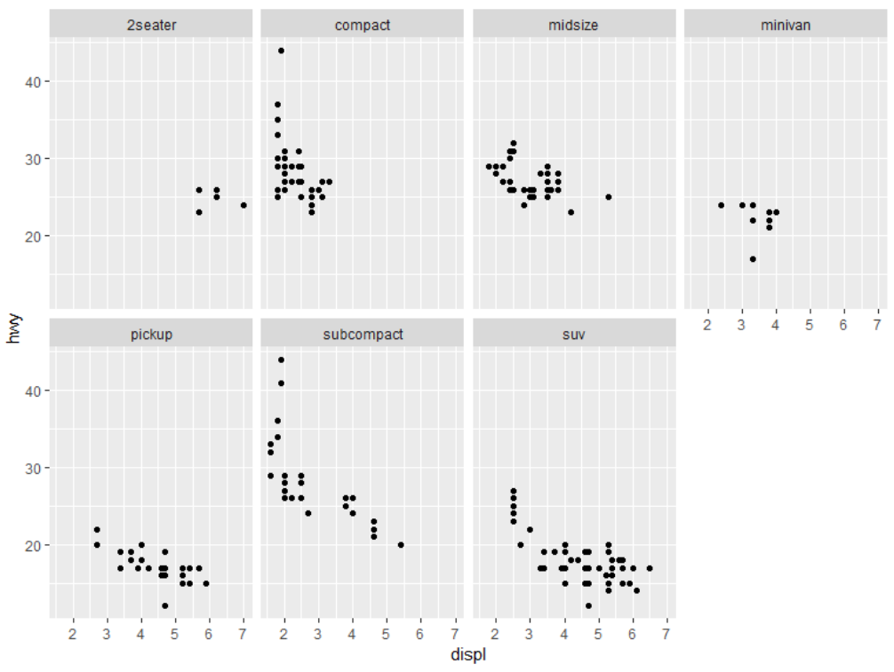
#facet_wrap:nrow = 2줄로 고정!
ggplot(data = mpg) +
geom_point(mapping = aes(x=displ, y=hwy)) +
facet_wrap(~class, nrow=2) #class에 대해서 각각 면 분할로 보고싶다!!(class변수는 범주형입니다.)

##facet_grid(scales=)옵션
aka) 공간활용의 크기를 설정하는 옵션
| #facet_grid()함수의 인수인 scales는 디폴트 값으로 |
| #“fixed”를 가지며 이때에는 분할된 면 마다 x축 변수, y축변수가 모두 나타난다. |
| #“free_x”인 경우 x축 변수가 면에 따라 다르게 나타나며 |
| #“free_y”인 경우 y축 변수가 면에 따라 다르게 나타난다. |
| #“free”인 경우 x축변수, y축변수가 모두 면에 따라 다르게 나타난다. |
3. theme 함수 - panel.grid
위 기능을 알기 위해서는 grid에 대한 개념과
major선 minor선을 알고 있으면 도움이 됩니다!
아래 필기를 봐주세요!

그렇다면 여기에 x축과 y축 개념이 들어가면 어떻게 될까요???


그럼 바로 어떻게 사용하는지 확인해보죠!
보통은 그리드 선에 변화를 주고 싶을 때 씁니다.
1. 선에 색을 추가하거나(elemet_line())
panel.grid.major.x = element_line(color='red')
2. 선을 없앨 때(elemt_blank())
panel.grid.major.y = element_blank()
library(gcookbook) #데이터 불러오기용
#2001년 메이저리그 탑 히터 야구 선수 데이터
data("tophitters2001")
#그 중에서도 1부터 25개 데이터(25개 관측치)만 가져옵니다.
tophit = tophitters2001[1:25,]
#시각화 시작!
#여기서는 major.y축을 blank(없애라)는 명령어를 사용했습니다.
ggplot(tophit, aes(x=reorder(name, avg), avg)) +
geom_point(size=3) +
theme(axis.text = element_text(angle = 60, hjust = 1),
panel.grid.major.y = element_blank())

그림에서 grid 선의 major.y 축 선이 사라졌음을 볼 수 있습니다!
4. theme_bw()
원래 ggplot 패키지를 쓰면 뒷배경이 회색이 나왔죠?
이 배경색을 바꿔줄 수도 있습니다.
배경색을 흰색으로 할래 하면
theme_bw() 이거 한줄만 추가해 주시면 됩니다!
bw는 black & white란 뜻입니다.
ggplot(data = mpg, mapping = aes(x=displ, y=hwy)) +
geom_point()+
theme_bw()
ta-daa!!

배경이 하얀색이 되었음을 볼 수 있습니다!
오늘의 포스트는 여기까지!
감사합니다.
'R' 카테고리의 다른 글
| [R] R Studio가 갑자기 느려질 때 (0) | 2019.06.11 |
|---|---|
| [R] 데이터 불러오기 (0) | 2019.05.29 |
| [R]ggplot2에 대해 파헤쳐 보자!!(feat.실전편) (0) | 2019.05.24 |
| [머신러닝] 회귀분석 in R (0) | 2019.05.12 |
| [R] ggplot2에 대해 파헤쳐 보자!!(feat.기초편) (0) | 2019.04.04 |